Solving Trig Equations Worksheet Answers
Solving Trig Equations Worksheet Answers - Using trigonometry improves studentsโ problem fixing talents and promotes important thinking, skills which can show helpful throughout their research and into adult life. Use the relevant formula to find the general solution of the equation. Use inverse functions to solve each trigonometric function in the interval [0,360). Free trial available at kutasoftware.com. 21.) 2sin2๐โsin๐=3 22.) 3tan2๐=1 23.) (csc๐ฅ+cot๐ฅ=1 )24.) โ2sin2๐ฅ=โ3 directions: Use the fundamental identities to solve trigonometric equations.
Find one negative and two positive solutions for tanx 1. Web (this sheet is a summative worksheet that focuses on deciding when to use the law of sines or cosines as well as on using both formulas to solve for a single triangle's side or angle) law of sines; Find x, 0 xd 2s, for the following: N5 maths exam worksheets by topic. Csc2 xโ cscx โ sin x 11.
Web the corbettmaths practice questions on solving trigonometric equations for level 2 further maths. A trigonometric identity refers to an equation with trigonometric functions, and that stands true for every value substituted for a variable. 3.find all solutions to the equation 3sinx 4 = sinx 2 in the interval [0;2ห]. Validate your response with the answer key provided in each pdf worksheet. Use inverse functions to solve each trigonometric function in the interval [0,360).
Web 15 = 17+4cos(y 7) 15 = 17 + 4 cos. Factorize the expression by combining your algebraic skills and trigonometric identities and then solve the equation. 2cos2 x cos x 1 0 d. Solve for the unknown variable on the interval osxanswer</strong>. A trigonometric identity refers to an equation with trigonometric functions, and that stands true for every value.
Use the relevant formula to find the general solution of the equation. Web 15 = 17+4cos(y 7) 15 = 17 + 4 cos. 1.find all solutions to the equation 2sinx+1 = 0 in the interval [0;2ห]. Here is a set of practice problems to accompany the solving trig equations section of the review chapter of the notes for paul. Solve.
These solutions are x = 5 /4 and x = 7 /4. Add sin x to each side. Ambiguous case of the law of sines; Web the corbettmaths practice questions on solving trigonometric equations for level 2 further maths. This sections illustrates the process of solving trigonometric equations of various forms.
2.find all solutions to the equation 3cosx= 3 in the interval [0;2ห]. Add sin x to each side. Sin ( ฮธ) = 2 2. If 0 < x < 2 ฯ, solve the equation: Algebraically, graphically, and using the concept of equivalence.the following table is a partial lists of typical equations.
Web solve the linear trigonometric equation and procure principal solutions that lie in the given range. Find one negative and two positive solutions for tanx 1. 1.find all solutions to the equation 2sinx+1 = 0 in the interval [0;2ห]. Use radian measures for angles. N5 maths 180 booster papers.
Find one negative and two positive solutions for tanx 1. Validate your response with the answer key provided in each pdf worksheet. If 0 < x < 2 ฯ, solve the equation: Web (this sheet is a summative worksheet that focuses on deciding when to use the law of sines or cosines as well as on using both formulas to.
Validate your response with the answer key provided in each pdf worksheet. Sin โ solve for the unknown variable on the given interval. Web solve each trigonometric equation by simplifying it to the form of a cos ฮธ + b sin ฮธ = c. Use the relevant formula to find the general solution of the equation. Divide each side by.
Find all possible values of t so that 2 1 sint. In the interval 0ยบ < x < 360ยบ, find all x values that satisfy the equation (to the nearest degree ). ฮ = arcsin ( 2 2) view the full answer step 2. Sine, cosine, tangent, to find side length Create your own worksheets like this one with infinite.
If 0 < x < 2 ฯ, solve the equation: This sections illustrates the process of solving trigonometric equations of various forms. In the interval 0ยบ < x < 360ยบ, find all x values that satisfy the equation (to the nearest degree ). 21.) 2sin2๐โsin๐=3 22.) 3tan2๐=1 23.) (csc๐ฅ+cot๐ฅ=1 )24.) โ2sin2๐ฅ=โ3 directions: Trigonometric equations be sure to show all work.
Find one negative and two positive solutions for tanx 1. 1.find all solutions to the equation 2sinx+1 = 0 in the interval [0;2ห]. 21.) 2sin2๐โsin๐=3 22.) 3tan2๐=1 23.) (csc๐ฅ+cot๐ฅ=1 )24.) โ2sin2๐ฅ=โ3 directions: Web the corbettmaths practice questions on solving trigonometric equations for level 2 further maths. Solve for the unknown variable on the interval osxanswer</strong>.
Solving Trig Equations Worksheet Answers - Algebraically, graphically, and using the concept of equivalence.the following table is a partial lists of typical equations. Find one negative and two positive solutions for tanx 1. 2 (cos x + 1) = 1. In the interval 0ยบ < x < 360ยบ, find all x values that satisfy the equation (to the nearest degree ). Web solve the linear trigonometric equation and procure principal solutions that lie in the given range. Validate your response with the answer key provided in each pdf worksheet. 1) the given equation is. ( y 7) in [10ฯ,15ฯ] [ 10 ฯ, 15 ฯ] solution. Web identities & solving trig equations. Web the corbettmaths practice questions on solving trigonometric equations for level 2 further maths.
Trigonometric equations be sure to show all work that leads to your answers. Create your own worksheets like this one with infinite precalculus. Use radian measures for angles. Web section 7.1 solving trigonometric equations with identities in the last chapter, we solved basic trigonometric equations. 1) the given equation is.
Use inverse functions to solve each trigonometric function in the interval [0,360). Solve for the unknown variable on the interval osxanswer</strong>. Find the exact value for each expression. This array of trigonometric worksheet pdfs for high school depicts trigonometric equations in the quadratic form.
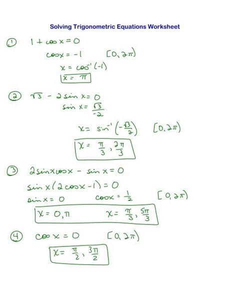
21.) 2Sin2๐โSin๐=3 22.) 3Tan2๐=1 23.) (Csc๐ฅ+Cot๐ฅ=1 )24.) โ2Sin2๐ฅ=โ3 Directions:
Web identities & solving trig equations. Trigonometric equations be sure to show all work that leads to your answers. Cos x=cosx cos x sin x โ 2sin x cosx = 2sin2 xโ cos2 x = 0 o 7. ฮ = arcsin ( 2 2) view the full answer step 2.
Web Solve Each Trigonometric Equation By Simplifying It To The Form Of A Cos ฮ + B Sin ฮ = C.
1) the given equation is. Web section 7.1 solving trigonometric equations with identities in the last chapter, we solved basic trigonometric equations. Credit maths exam worksheets by topic. Sine, cosine, tangent, to find side length
Divide Each Side By 2.
Solve each trigonometric function in the interval [0,2๐). Find all possible values of t so that 2 1 sint. Consider the function f 2xxx 2. 2 (cos x + 1) = 1.
Use Inverse Functions To Solve Each Trigonometric Function In The Interval [0,360).
Find one negative and two positive solutions for tanx 1. Web 15 = 17+4cos(y 7) 15 = 17 + 4 cos. Find x, 0 xd 2s, for the following: Solve for the unknown variable on the interval 0 x < 2m.